Assegno Unico 2025 Simulazione

Assegno Unico 2025 Simulazione. Assegno Unico, Aumenti del 5,4 da gennaio L'Assegno Unico rappresenta un sostegno economico fondamentale per le famiglie, pensato per alleggerire il peso delle spese quotidiane e incentivare la natalità. Con il calcolatore di PMI.it è possibile simulare online l'importo dell'Assegno Unico, determinato in base al nucleo familiare ed al valore ISEE (chi non lo presenta avrà l'importo minimo) e.

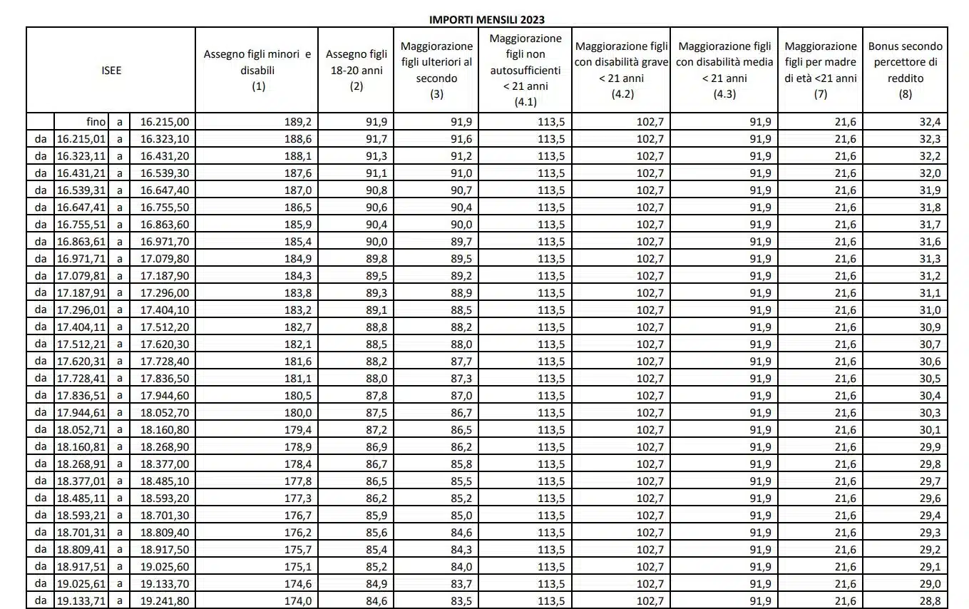
Assegno unico le fasce di reddito (con le tabelle) e il calcolo degli importi. Ecco quando
Assegno unico le fasce di reddito (con le tabelle) e il calcolo degli importi. Ecco quando from www.quotidianodipuglia.it

/ Tutti i servizi / Simulazione Importo Assegno Unico Inserisci il tuo reddito ISEE e alcune informazioni essenziali sui figli che vivono con te.

Assegno unico le fasce di reddito (con le tabelle) e il calcolo degli importi. Ecco quando

Il servizio permette di richiedere un assegno per le famiglie con figli a carico fino al compimento dei 21 anni e senza limiti di età per figli disabili a carico Inserisci il tuo reddito ISEE e alcune informazioni essenziali sui figli che vivono con te. 230 ed erogato dall'INPS dietro presentazione di apposita domanda.

Assegno Unico 2025 Tabella Elyse Imogene. Inserisci il tuo reddito ISEE e alcune informazioni essenziali sui figli che vivono con te. Gli importi spettanti sono aggiornati in base alle novità.

Importo assegno unico, ecco come calcolarlo con il simulatore Inps FIRST CISL. È rivolto a lavoratori dipendenti, autonomi, pensionati, disoccupati e inoccupati. Per un calcolo preciso e personalizzato, si consiglia di rivolgersi a un patronato o consultare il sito ufficiale INPS